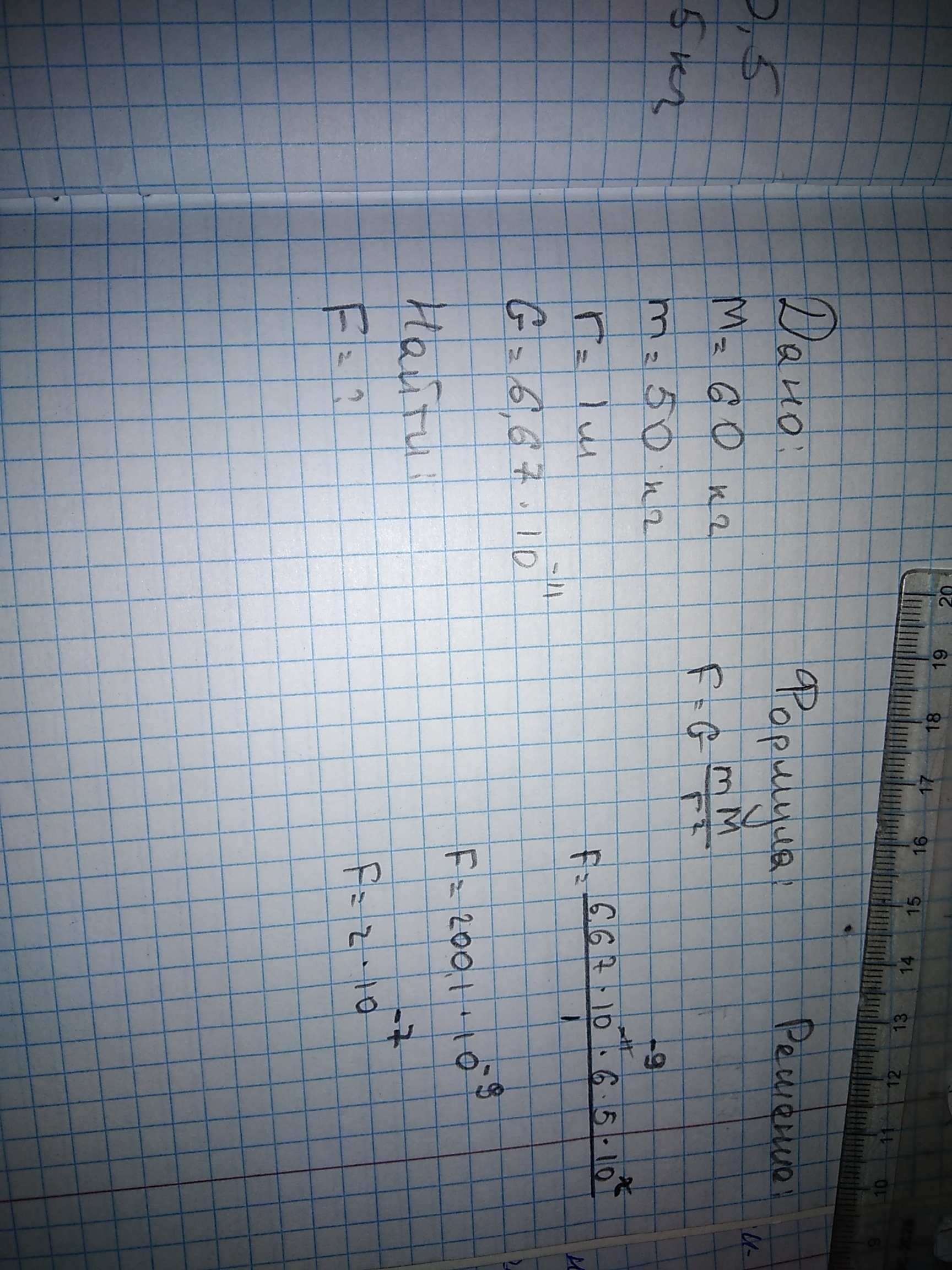
найдите силу гравитациоионного притяжения между двумя телами массой 60 и 50 кг если они находятся на расстоянии 1 м
Ответы
Ответ дал:
0
Ответ на фото все объяснено подробно
Приложения:

Ответ дал:
0
Не забывайте единицы))
Ответ дал:
0
Спасибо
F=2*10^(-7)H
F=2*10^(-7)H
Вас заинтересует
2 года назад
3 года назад
9 лет назад
9 лет назад
9 лет назад