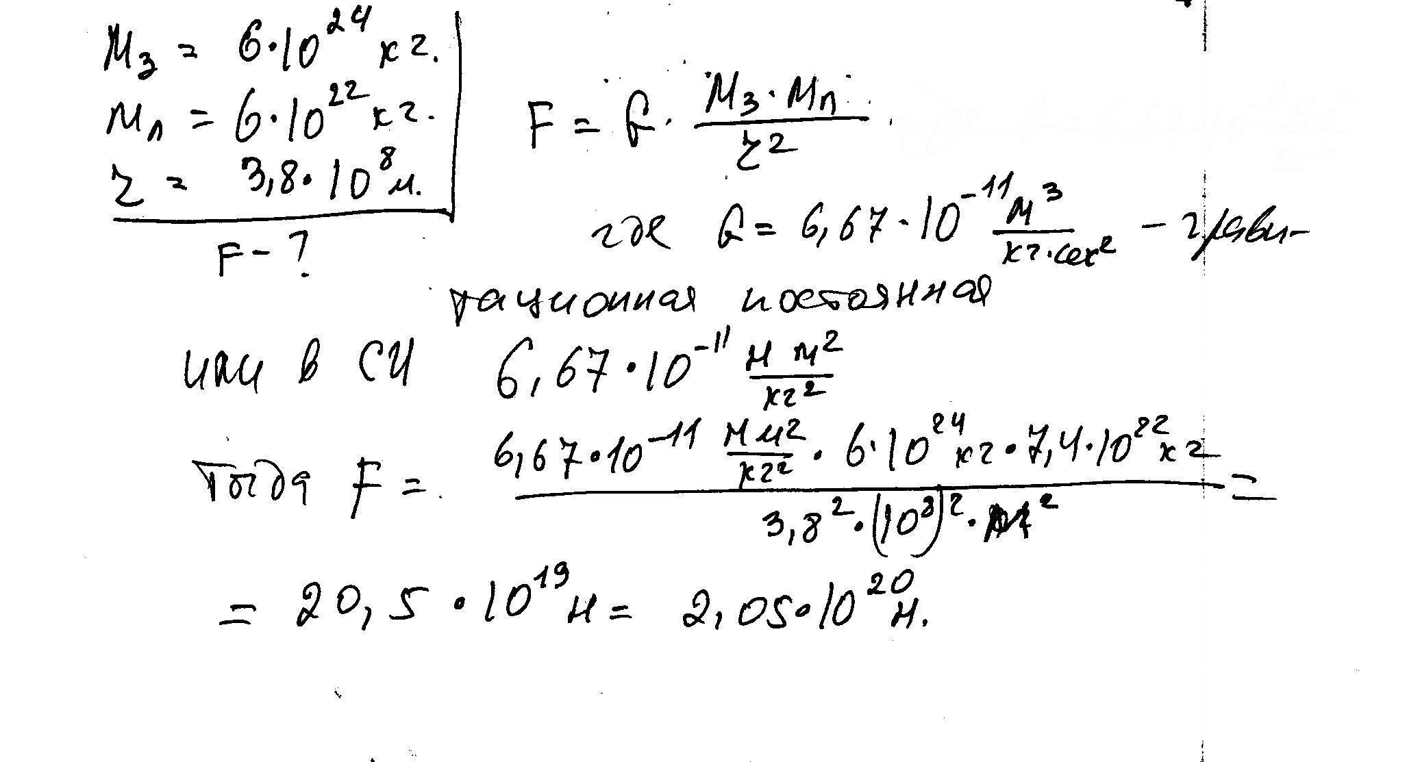
1.Чему равна сила тяготения между Землей и луной, если масса Земли 6*10 24 степени кг, масса Луны 7,4*10 в 22степени кг, среднее расстояние от Луны до Земли 3,8*10 в 8степени м.? Радиусами Луны и Земли пренебречь.
Ответы
Ответ дал:
0
решение в скане...................
Приложения:

Вас заинтересует
2 года назад
8 лет назад
8 лет назад
10 лет назад
10 лет назад
10 лет назад
10 лет назад