• Предмет: Математика
  • Автор: alinkabinka
  • Вопрос задан 8 лет назад

ДАЮ 18 БАЛЛОВ,ПРОШУ ОЧЕНЬ ВАЖНО.НУЖНЫ ПРОСТО ОТВЕТЫ

1.[-2,5;5)=
2.—4≤—2x<3=
3.x+13≥15=
4.AB=23mm,BC=3,1cm,CD=0,23m=

Ответы

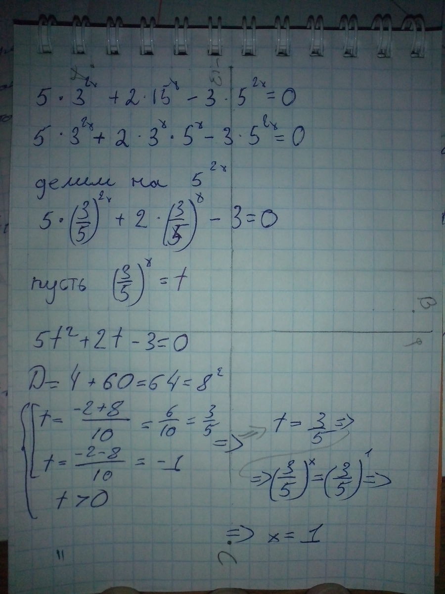
Ответ дал: ivantupi
0

Вроде все тут надеюсь

Приложения:
Вас заинтересует