Ответы
Ответ дал:
0
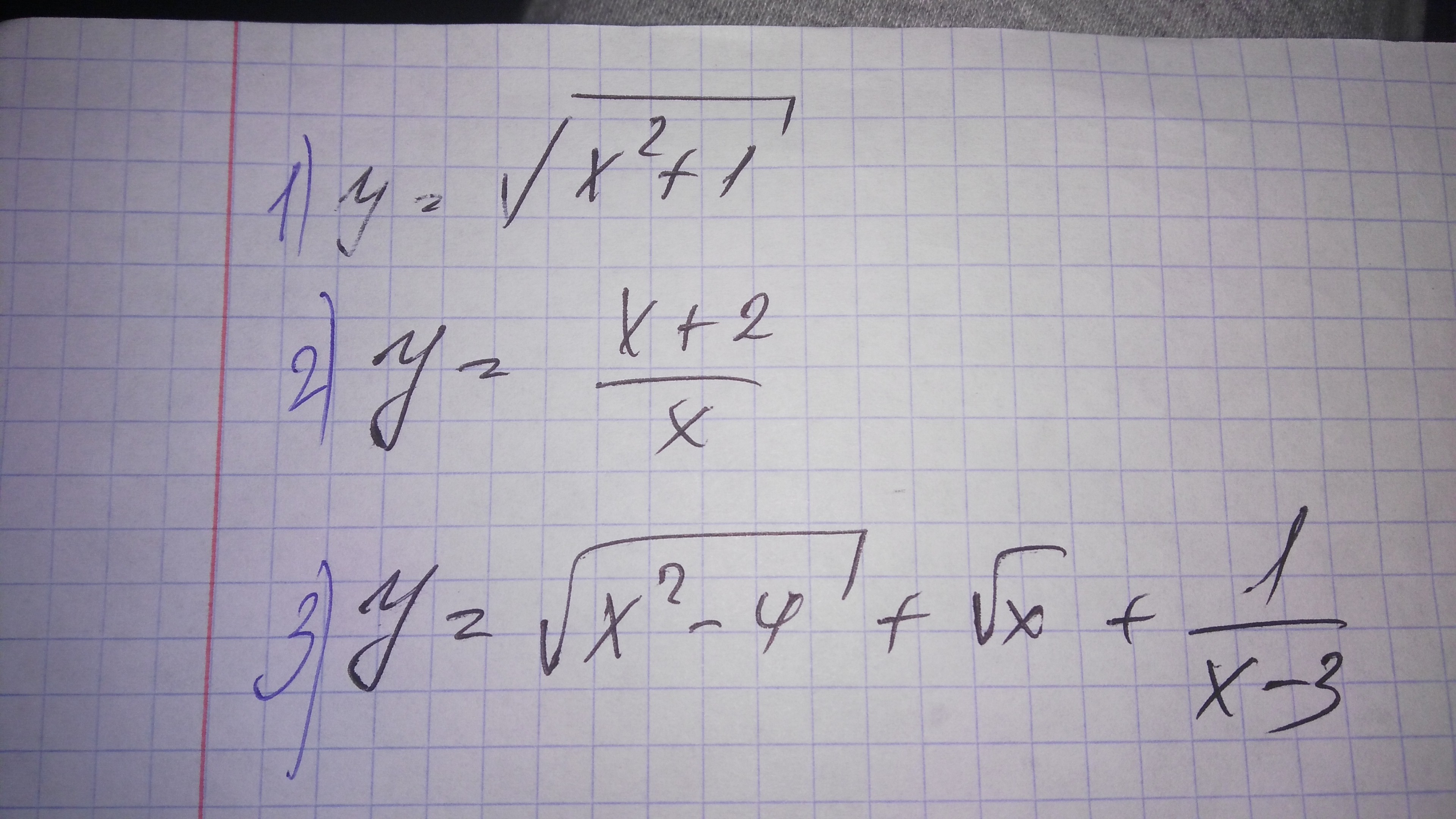
1)y=√(x²+1)
x²+1≥0
x€(-oo;+oo)
2)y=(x+2)/x
x≠0
x€(-oo;0)U(0;+oo)
3)y=√(x²-4)+√x+1/(x-3)
{x²-4≥0;x²≥4;|x|≥2
{x≥0
{x-3≠0;x≠3
___-2___0____2\__3\
x€[2;3)U(3;+oo)
x²+1≥0
x€(-oo;+oo)
2)y=(x+2)/x
x≠0
x€(-oo;0)U(0;+oo)
3)y=√(x²-4)+√x+1/(x-3)
{x²-4≥0;x²≥4;|x|≥2
{x≥0
{x-3≠0;x≠3
___-2___0____2\__3\
x€[2;3)U(3;+oo)
Ответ дал:
0
проверьте свое решение: в последнем примере x-3
Ответ дал:
0
Решение прикреплено во вложении. Удачи
Приложения:

Ответ дал:
0
mersi
Вас заинтересует
2 года назад
3 года назад
3 года назад
9 лет назад
9 лет назад
9 лет назад