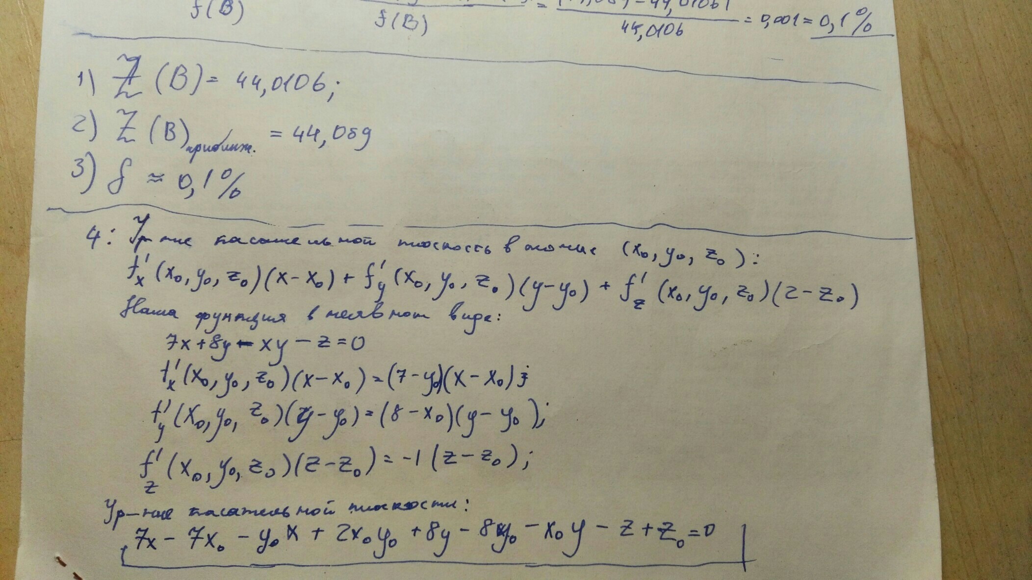
дана функция Z=f(x,y) и две точки А(x0,y0) и B(x1,y1). Требуется: 1) вычислить значение z1 в точке B; 2) вычислить приближѐнное значение z1 функции в точке B, исходя из значения z0 функции в точке A и заменив приращение функции при переходе от точки A к точке B дифференциалом; 3) оценить в процентах относительную погрешность, получающуюся при замене приращения функции еѐ дифференциалом; 4) составить уравнение касательной плоскости к поверхности z=f(x,y) в точке C(x0,y0,z0).
z=7x+8y-xy, A(5,3), B(4,98;3,03)
Ответы
Ответ дал:
0
Все объяснено на картинке, если что не понятно, спрашивай
Приложения:



Ответ дал:
0
здравствуйте а где первое ,второе,третье
Вас заинтересует
2 года назад
3 года назад
9 лет назад
9 лет назад
9 лет назад