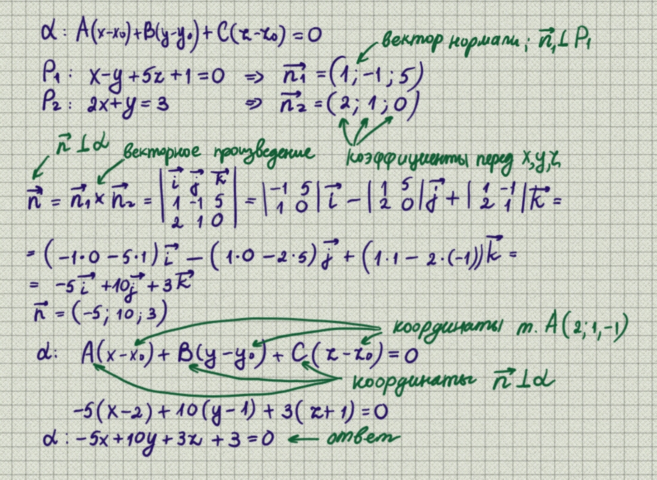
составить уравнение плоскости проходящей через точку A(2,1,-1) перпендикулярно плоскостям
x-y+5z+1=0 и 2x+y=3
Ответы
Ответ дал:
0
Решение во вложении.
Приложения:

Вас заинтересует
2 года назад
3 года назад
3 года назад
9 лет назад