Ответы
Ответ дал:
0
PascalABC.NET 3.4.2, сборка 1843 от 24.10.2018
Внимание! Если программа не работает, обновите версию!
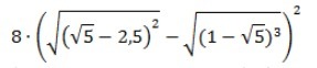
begin
// в действительных числах
Println(8 * Sqr(Sqrt(5) - 2.5 - (1 - Sqrt(5)) ** (3 / 2)));
// в комплексных числах
Println(8 * complex.Pow(Sqrt(5) - 2.5 - complex.Pow(Cplx(1, 0)
- Sqrt(5), 3 / 2), 2));
end.
NaN
(-14.5510696599781,-5.80330774566088)
Во вложении - контрольный результат вычисления в программе Maple15
Приложения:
Вас заинтересует
2 года назад
3 года назад
9 лет назад
9 лет назад
10 лет назад
10 лет назад