Ответы
Ответ дал:
0
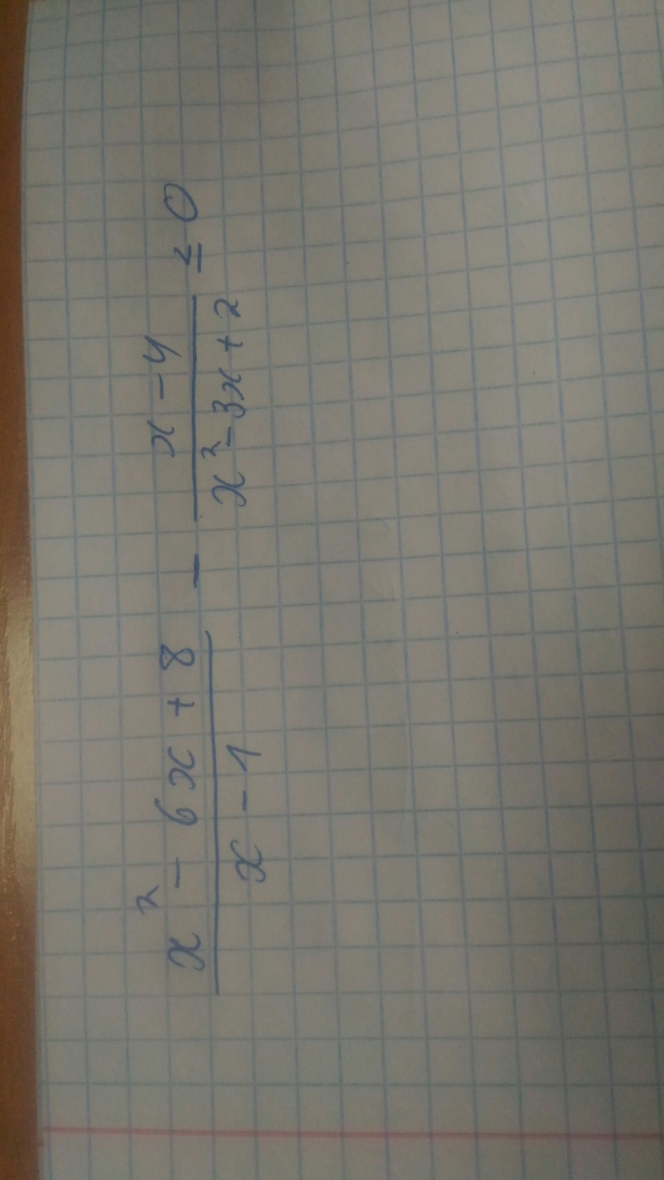
ОДЗ: х-1 ≠0 => x ≠ 1
x²-3x+2 ≠ 0 => x ≠ 1; x≠ 2
Общее: х ≠ 1: x≠ 2
Далее решаем методом интервалов.
На числовой прямой отмечаем точки:
х≠1; х≠ 2; х=3; х=4
Получили 5 промежутков, определяем знак на каждом из них:
1) (-∞; 1)
при х = 0 получаем (- × - )/ - = "-" минус
2) (1; 2)
при х = 1,5 получаем (- × - )/ - = "-" минус
3) (2; 3]
при х = 2,5 получаем (- × - )/ + = "+" плюс
4) [3; 4]
при х = 3,5 получаем (- × + )/ + = "-" минус
5) [4; +∞)
при х = 5 получаем (+ × + )/+ = "-" плюс
Ответ: x ∈ (-∞; 1)∪(1; 2)∪[3; 4]
Приложения:

Ответ дал:
0
Спасибо большое
Вас заинтересует
2 года назад
2 года назад
3 года назад
3 года назад
9 лет назад
9 лет назад
9 лет назад
9 лет назад