Ответы
Ответ дал:
0
__________________________
Приложения:
Ответ дал:
0
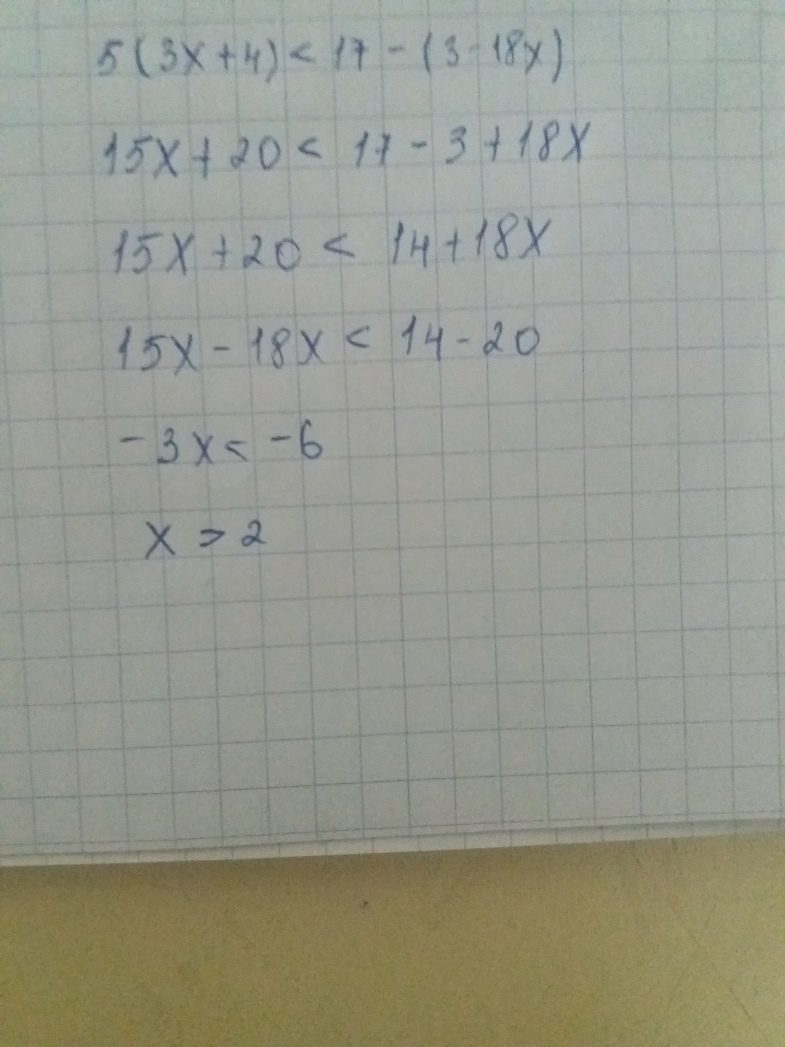
5(3х+4)<17-(3-18х)
15х+20<17-3+18х
15х+20<14+18х
15х-18х<14-20
-3х<-6
х>2
15х+20<17-3+18х
15х+20<14+18х
15х-18х<14-20
-3х<-6
х>2
Приложения:
Вас заинтересует
2 года назад
3 года назад
3 года назад
9 лет назад
9 лет назад
10 лет назад
10 лет назад