Помогите пожалуйста решить 2 системы уравнений с подробным описанием Срочно!!
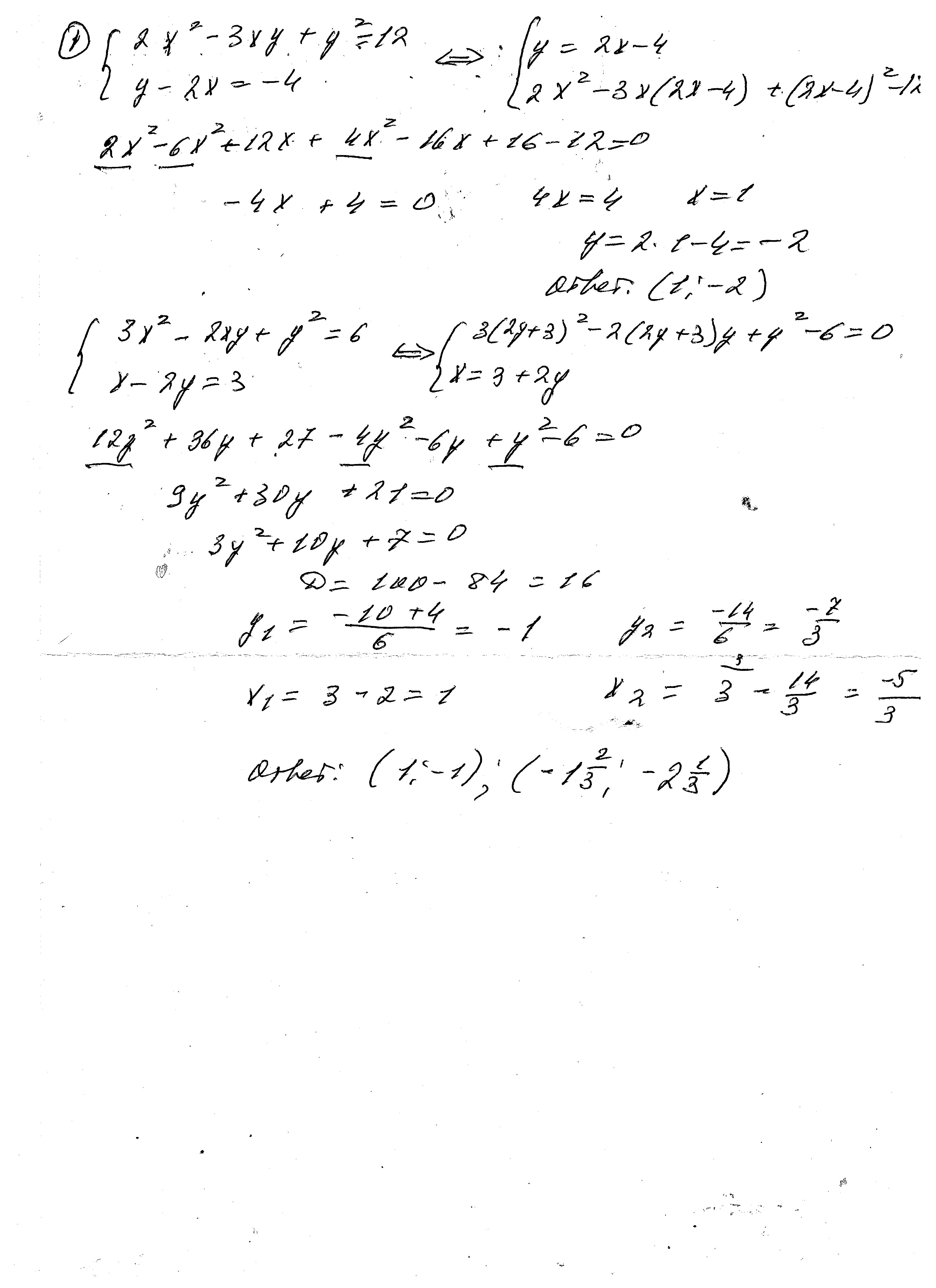
1) 2 x в квадрате - 3xy + y в квадрате = 12
y - 2x = -4
2) 3x в квадрате - 2xy + y в квадрате = 6
x - 2y = 3
Ответы
Ответ дал:
0
Решение - в приложении
Приложения:

Ответ дал:
0
спасибо
Вас заинтересует
2 года назад
3 года назад
9 лет назад
9 лет назад