И снова простите за вопрос, но можете помочь с заданием? Я не понимаю просто.. номер 120..
Приложения:

Ответы
Ответ дал:
0
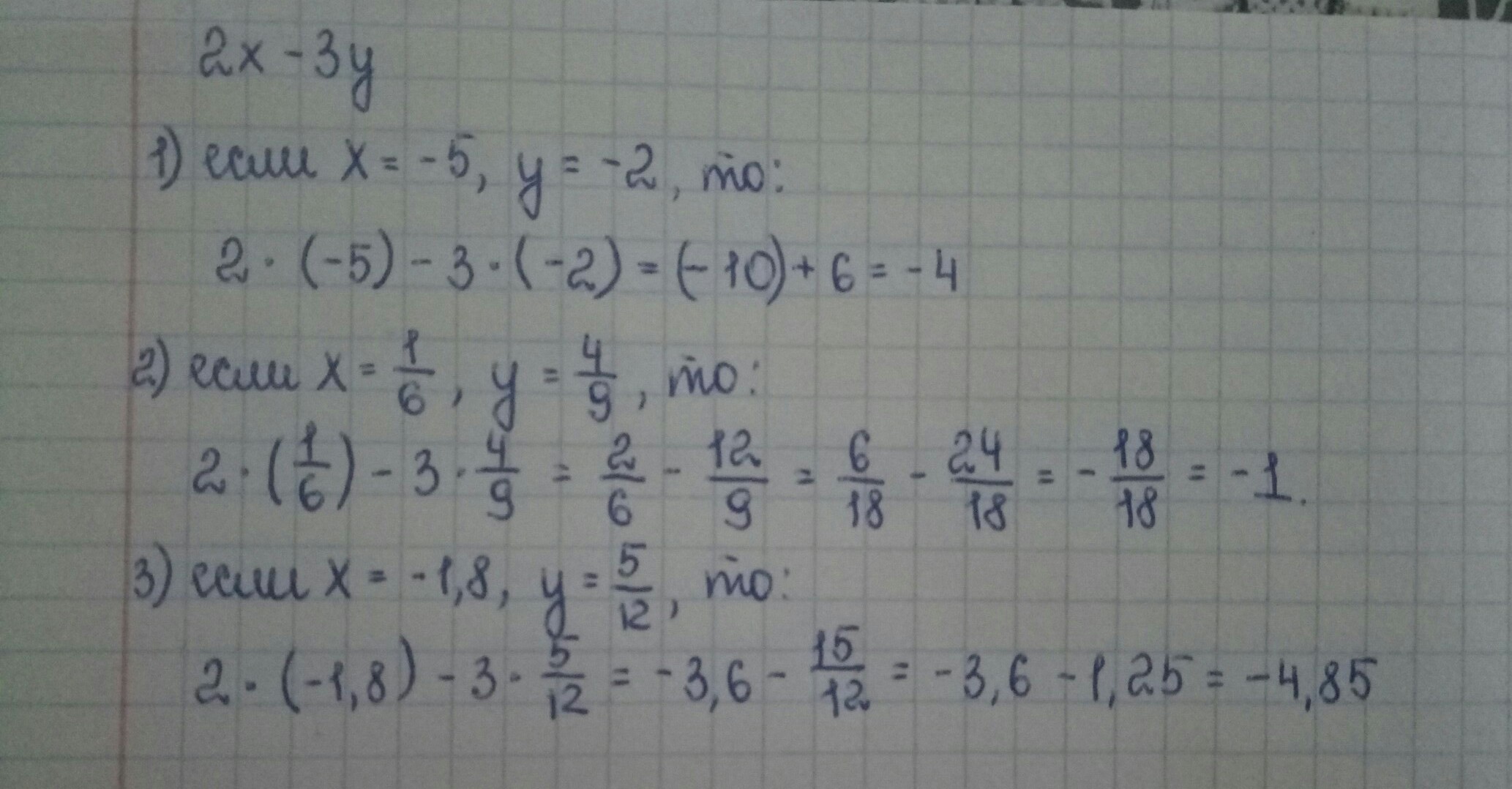
1)2*(-5)-3*(-2)=-4
2)2*1/6-3*4/9=0,3-1,3=-1
3)2*(-1,3)-3*5/12=-2,6-1,25=-4,85
Надеюсь ты понял что эти значения прост надо подставить )
Ответ дал:
0
Решение в приложении. Если есть вопросы - пиши
Приложения:

Вас заинтересует
2 года назад
3 года назад
3 года назад
9 лет назад
9 лет назад
9 лет назад