• Предмет: Физика
  • Автор: kakashkasasha2000
  • Вопрос задан 8 лет назад

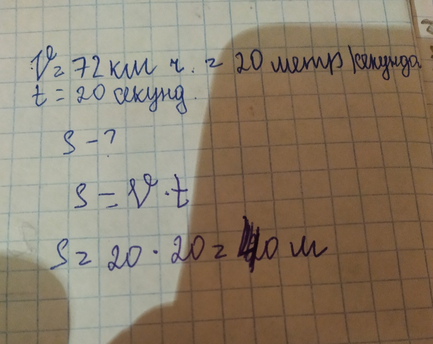
Автомобиль , двигавшийся со скоростью 72 км/ч начал тормозить перед светофором . какой путь пройдёт автомобиль до полной остановки , если время торможения составило 20 секунд ?

Ответы

Ответ дал: aimeerim1
0
ответ:40метр.........
Приложения:
Вас заинтересует