• Предмет: Математика
  • Автор: TheBarenik
  • Вопрос задан 8 лет назад

30 Балов!
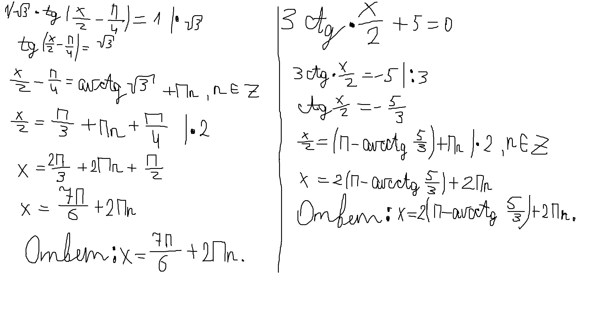
1/Корень 3 * tg (x/2 - Пи/4) = 1
3 ctg * x/2 + 5 = 0
Помогите решить, пожалуйста!

Ответы

Ответ дал: xylugan68
0

Вроде всё, проверьте у себя, может 2-ое вы не правильно написали условие, что такой ответ вышел

Приложения:
Вас заинтересует