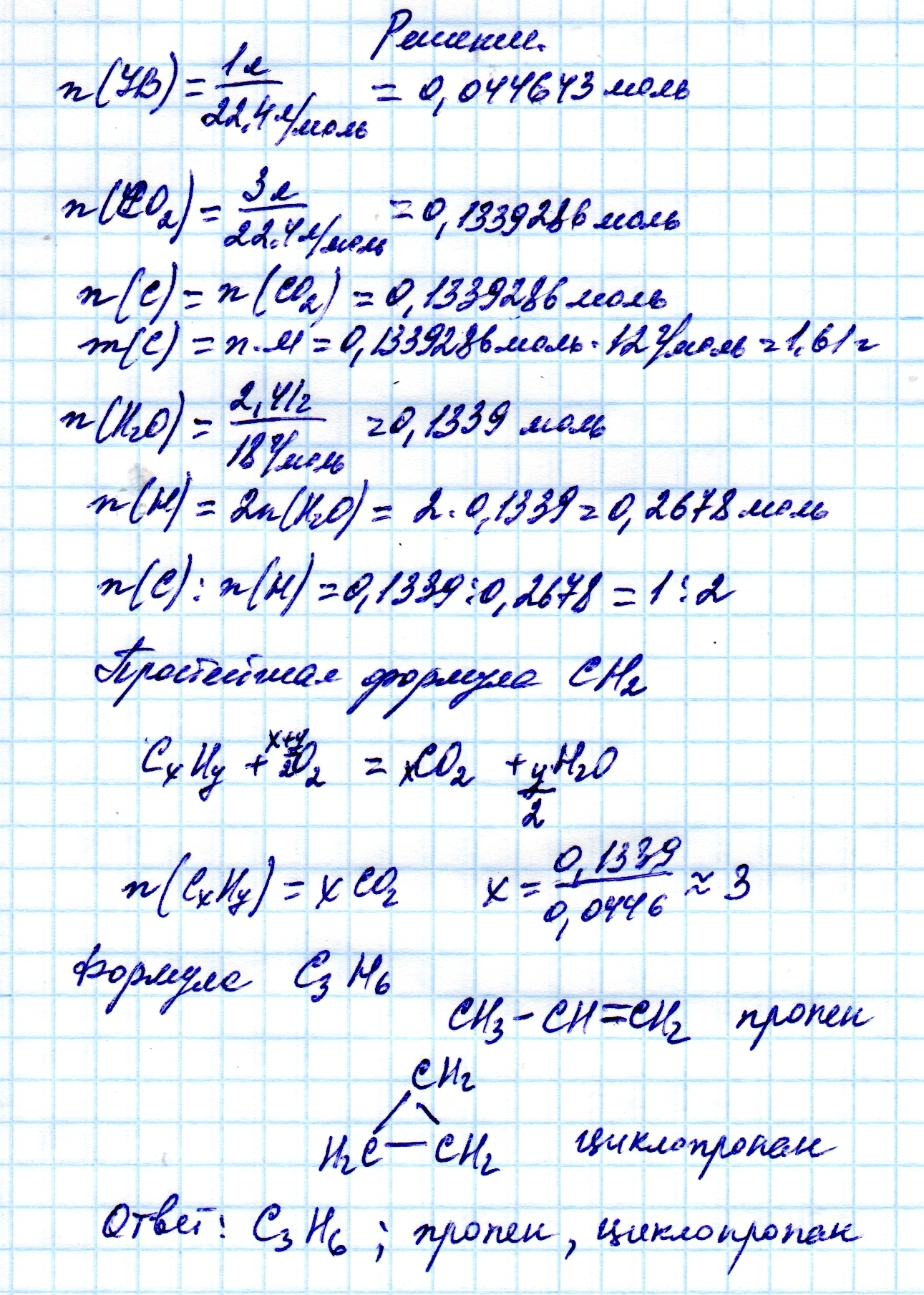
При сгорании 1 л газообразного углеводорода образовалось 3 л оксида углерода(4) и 2,41 воды.Выведите молекулярную формулу вещества и напишите структурные формулы его изомеров.Объемы газов измерены при нормальных условиях.
Ответы
Ответ дал:
0
Смотри фото если что-то не понятно пиши в коменты
Приложения:

Ответ дал:
0
Дано:
V(УВ) = 1 л
V(CO2) = 3 л
m(H2O) = 2,41 г
Найти:
формула УВ - ?
Изомеры -?
Приложения:

Вас заинтересует
2 года назад
2 года назад
3 года назад
3 года назад
9 лет назад
9 лет назад