• Предмет: Алгебра
  • Автор: snezhka80
  • Вопрос задан 8 лет назад

найдите значения выражения.

Приложения:

Ответы

Ответ дал: Dzyuba10
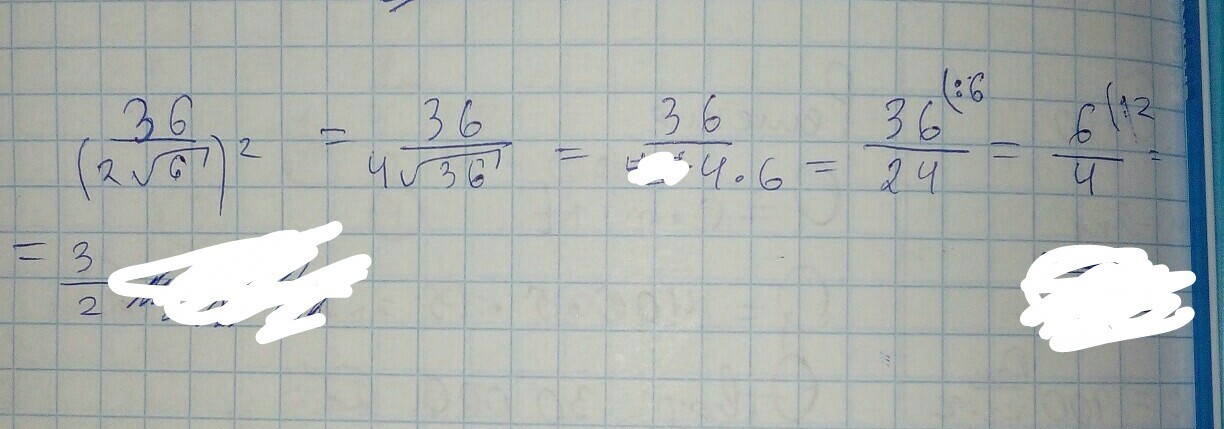
0
36/(2√6)^2

36/4*6

9/6

3/2
Ответ дал: LuckyMILK
0
Решение есть на фотке.
Приложения:
Вас заинтересует