• Предмет: Математика
  • Автор: alkoz2006
  • Вопрос задан 8 лет назад

помогите пожалуйста
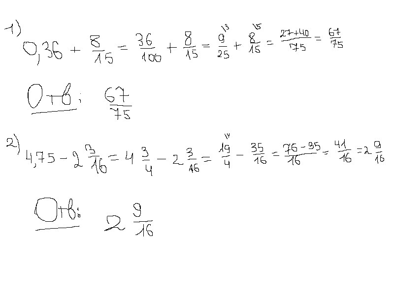
0,36+8/15=

4,75-2целых 3/16=

помогите пожалуйста  с поеснениям пожалуйста

Ответы

Ответ дал: andreyig2012
0

Вот решение в прикрепленных файлах, если что не понятно, то спрашивай)

Приложения:
Ответ дал: alkoz2006
0
спасибо
Ответ дал: andreyig2012
0
Вообщем я там облажался во втором примере, вот правильно решение, сорри)
Ответ дал: alkoz2006
0
угу я там заметела
Вас заинтересует