• Предмет: Алгебра
  • Автор: tsolop
  • Вопрос задан 8 лет назад

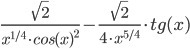
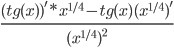
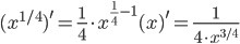
1)Найти производную функции: y=tg√(2/√x)

Ответы

Ответ дал: arran17slyoxpscg
0

были использованы следующие правила дифференцирования:


Приложения:
Вас заинтересует