• Предмет: Алгебра
  • Автор: lalka22808
  • Вопрос задан 8 лет назад

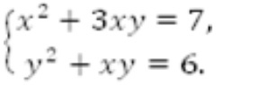
Решите систему уравнений:

Приложения:

Ответы

Ответ дал: valenivan
0

Решение задания приложено

Приложения:
Ответ дал: ValeraDavay
0
Помогите пожалуйста с векторами: 1) https://znanija.com/task/30226487 2) https://znanija.com/task/30226503 3) https://znanija.com/task/30226514 4) https://znanija.com/task/30226527 5) https://znanija.com/task/30226532 6) https://znanija.com/task/30226545
Ответ дал: lalka22808
0
Спасибо за решение, до этого не был знаком с методом почленного деления и умножения, теперь думаю стоит его освоить
Вас заинтересует