Ответы
Ответ дал:
0
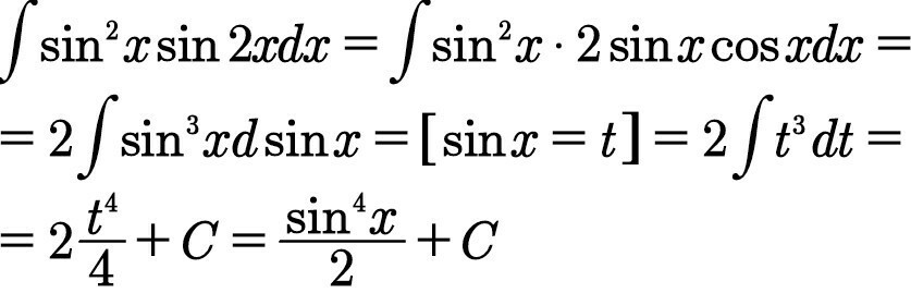
Решение на фотографии :
1. Разложили синус двойного аргумента.
2. косинус внесли под знак дифференциала.
3. сделали замену переменной .
1. Разложили синус двойного аргумента.
2. косинус внесли под знак дифференциала.
3. сделали замену переменной .
Приложения:

Вас заинтересует
2 года назад
2 года назад
3 года назад
9 лет назад
9 лет назад
9 лет назад