• Предмет: Алгебра
  • Автор: Данякеп
  • Вопрос задан 8 лет назад

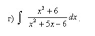
Найти неопределенные интегралы. Результаты проверить дифференцированием.

Приложения:

Ответы

Ответ дал: NNNLLL54
0

int frac{x^3+6}{x^2+5x-6}, dx=int (x-5+frac{31x-24}{(x+6)(x-1)}), , dx=Q\\\frac{31x-24}{(x+6)(x-1)}=frac{A}{x+6}+frac{B}{x-1}=frac{A(x-1)+B(x+6)}{(x+6)(x-1)}; ;\\31x-24=A(x-1)+B(x+6); ;\\x=1:; ; 31-24=B(1+6); ,; ; B=frac{7}{7}=1; ;\\x=-6:; ; -31cdot 6-24=A(-6-1); ,; ; A=frac{210}{7}=30; ;\\\Q=int (x-5+frac{30}{x+6}+frac{1}{x-1}), dx=frac{x^2}{2}-5x+30, ln|x+6|+ln|x-1|+C=\\=frac{x^2}{2}-5x+ln, frac{|x+6|^{30}}{|x-1|}+C; .

Proverka:\\Big (frac{x^2}{2}-5x+30, ln|x+6|+ln, |x-1|+CBig )'=\\=x-5+frac{30}{x+6}+frac{1}{x-1}=frac{(x-5)(x+6)(x-1)+30(x-1)+x+6}{(x+6)(x-1)}=\\=frac{x^3-5x^2+5x^2-25x-6x+30+30x-30+x+6}{(x+6)(x-1)}=frac{x^3+6}{x^2+5x-6}

Вас заинтересует