• Предмет: Математика
  • Автор: dsaviczkaya
  • Вопрос задан 8 лет назад

Как можно быстрее
С решением

Приложения:

Ответы

Ответ дал: bearcab
0

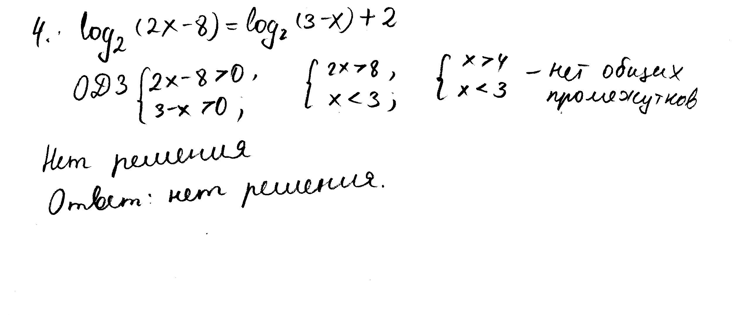
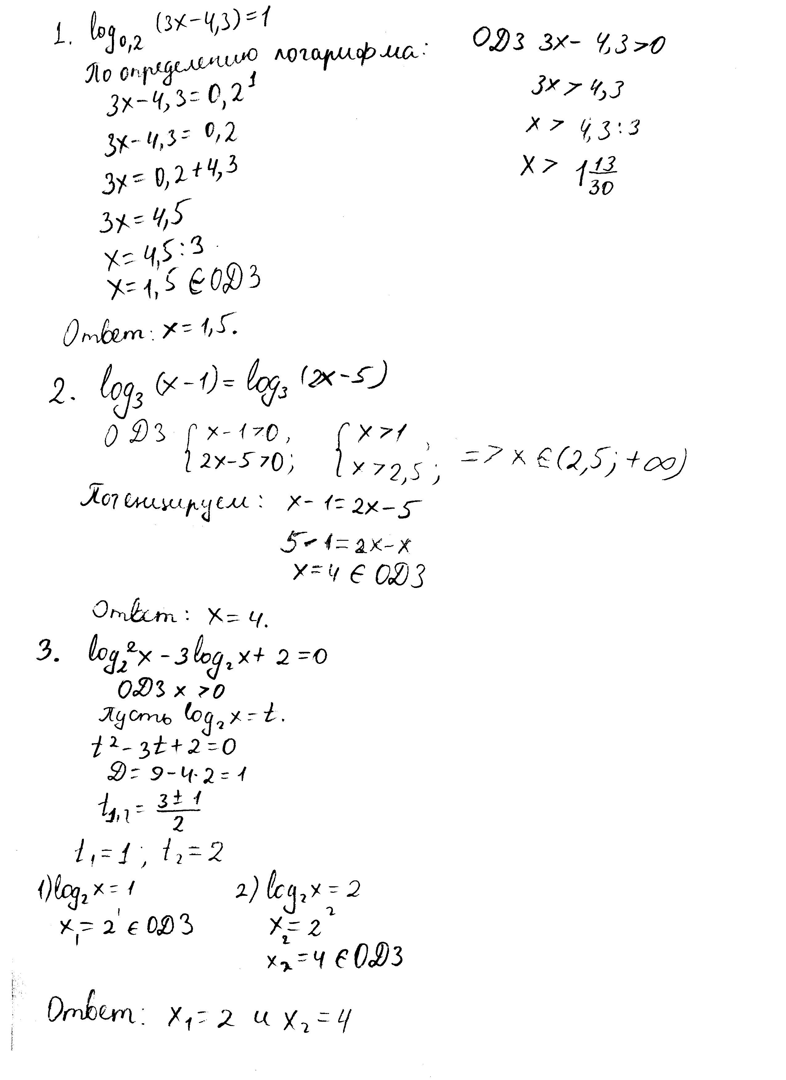
Решение в приложении.


Приложения:
Вас заинтересует