Ответы
Ответ дал:
0
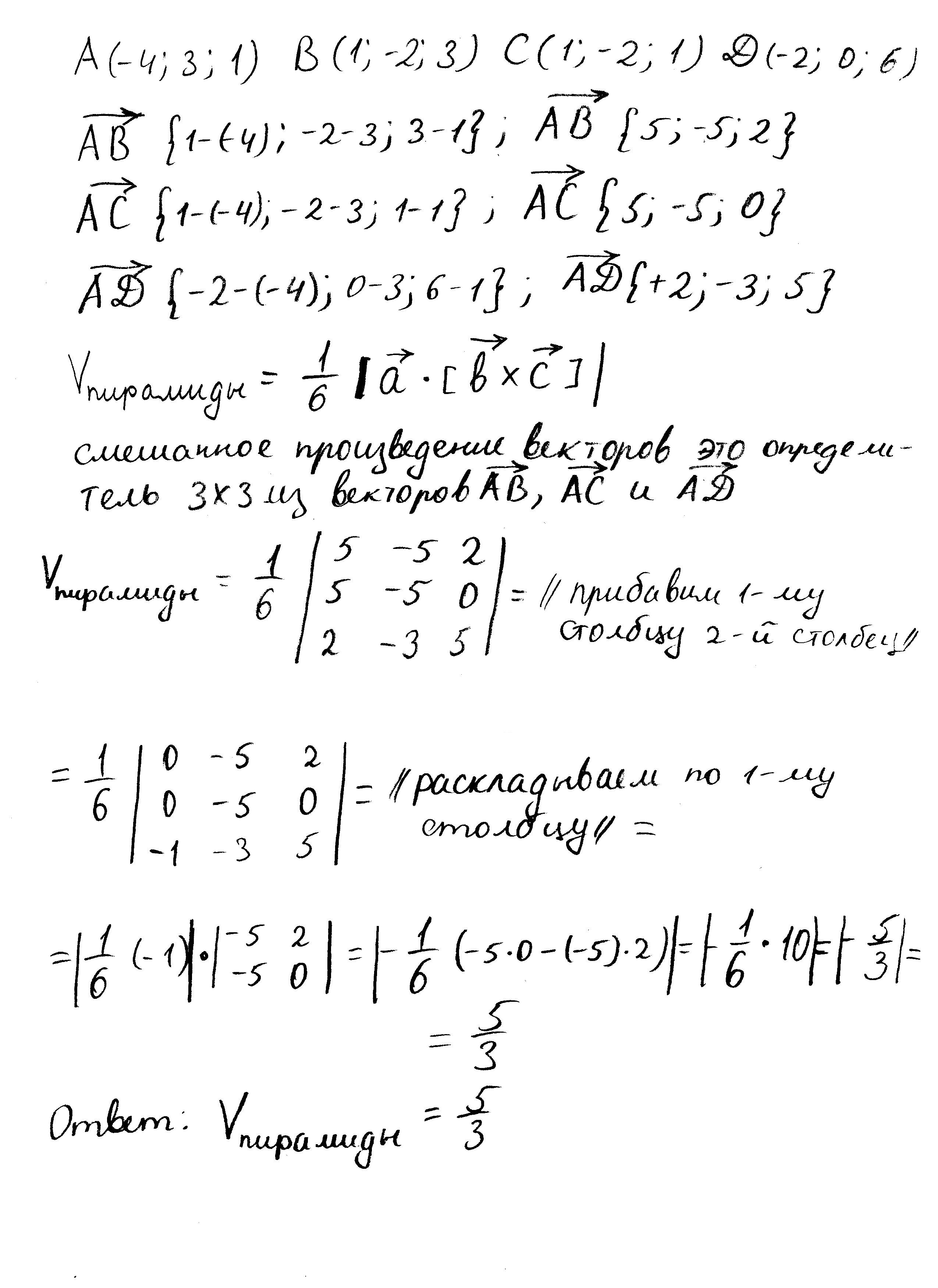
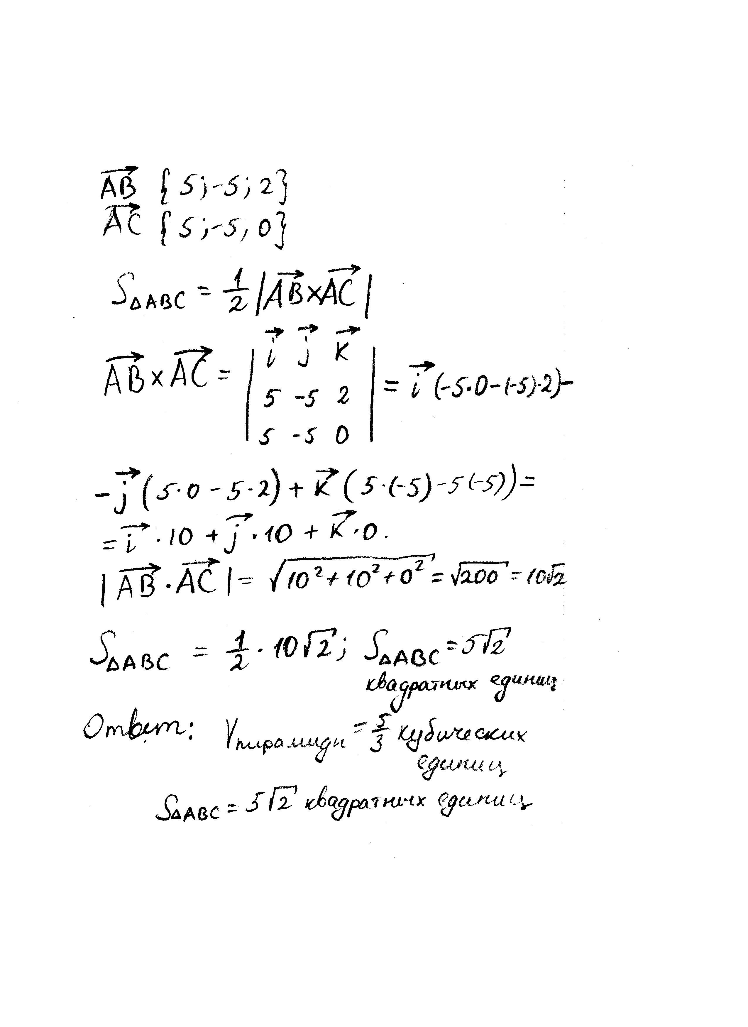
Решение в приложении.
Приложения:


Вас заинтересует
3 года назад
3 года назад
9 лет назад
9 лет назад
9 лет назад