Ответы
Ответ дал:
0
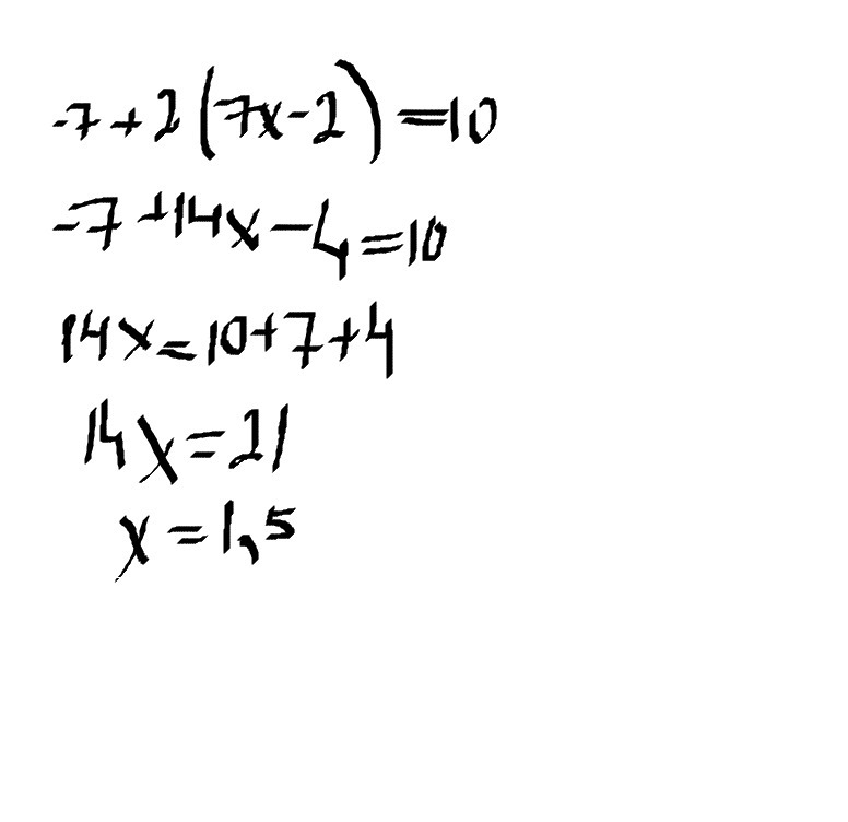
1,5вам нужен ответ он 1,5
Ответ дал:
0
---------------------------------------
Приложения:

Вас заинтересует
2 года назад
2 года назад
3 года назад
3 года назад
9 лет назад
9 лет назад
9 лет назад
9 лет назад