• Предмет: Алгебра
  • Автор: DashaGrande
  • Вопрос задан 8 лет назад

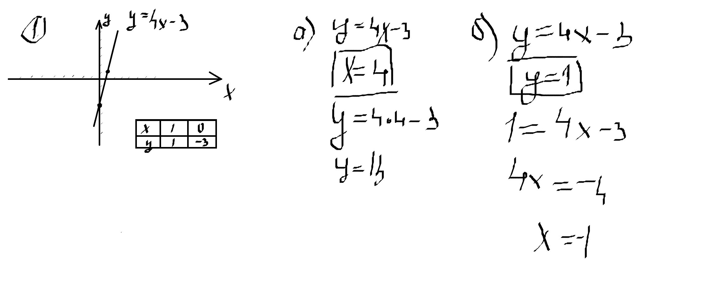
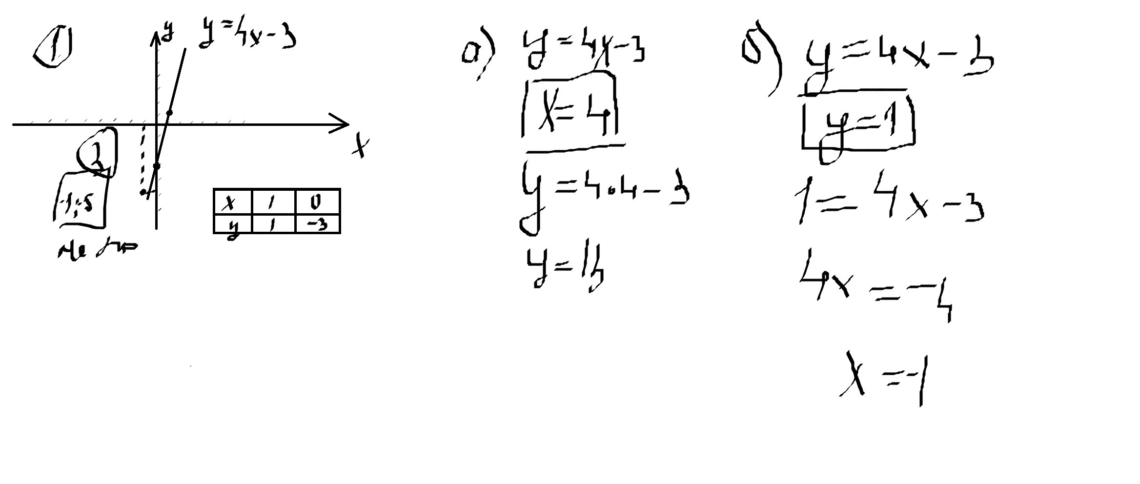
помогитееее я на уроке хотябы одно

Приложения:

Ответы

Ответ дал: gil213
0

-------------------------------------------------------------

Приложения:
Ответ дал: DashaGrande
0
спасиииибо
Ответ дал: gil213
0
СЕЙЧАС ЕЩЕ ОБНАВИ
Ответ дал: DashaGrande
0
СПАСИИИИИИБО! ЗАВТРА ЕЩЕ КОНТРОЛЬКА ПО АЛГЕБРЕ АХХАХА Я ТЕБЯ ЖДУ
Ответ дал: DashaGrande
0
ХАХАХАХХАА НЕ СЕРЬЕЗНО СПАСИБО
Ответ дал: DashaGrande
0
ОГРОМНОЕ
Ответ дал: m11m
0

!!!!!!!!!!!!!!!!!!!!!!!!!!!

Приложения:
Ответ дал: DashaGrande
0
Огромное тебе спасибо
Ответ дал: DashaGrande
0
у меня завтра контрольная по алгебре, сегодня вы мне очеееень помогли за что я вам благодарна, спасибо, если вам не трудно помогите мне и завтра пожалуйста! ОЧЕНЬ БЛАГОДАРНА СПАСИБО!
Вас заинтересует