Ответы
Ответ дал:
0
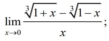
решение во вложении...........
Приложения:


Ответ дал:
0
формулы добавить или итак понятно?
Ответ дал:
0
Если вам не сложно, то можете добавить формулы
Ответ дал:
0
ок
Ответ дал:
0
Большое спасибо!:)
Ответ дал:
0
успехов Вам в учебе
Вас заинтересует
2 года назад
2 года назад
3 года назад
9 лет назад
9 лет назад