• Предмет: Математика
  • Автор: nusha3939
  • Вопрос задан 8 лет назад

Прошу помогите,забыла как решаются эти уравнения!

Приложения:

Ответы

Ответ дал: FuHTuK
0

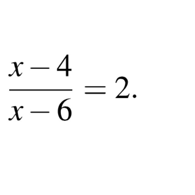
 frac{x - 4}{x - 6}  =  frac{2}{1}
По свойству пропорции:
x-4=2x-12
х=8
Вас заинтересует