• Предмет: Алгебра
  • Автор: dkkarpova
  • Вопрос задан 8 лет назад

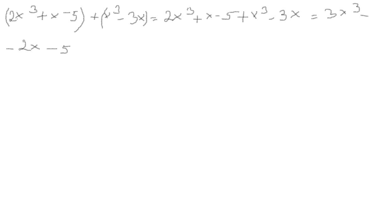
(2x^3+x-5)+(x^3-3x)

Ответы

Ответ дал: Thunser
0

как то так

я не очень уверена, но думаю, что так

Приложения:
Вас заинтересует