• Предмет: Алгебра
  • Автор: hikvetjc
  • Вопрос задан 8 лет назад

решите пожалуйста мне до завтра

Приложения:

Ответы

Ответ дал: Lod2000
0

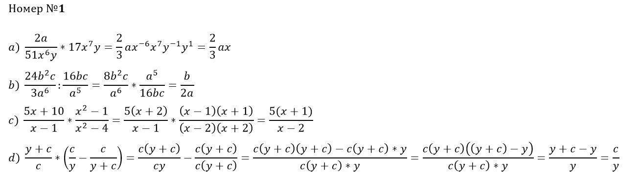
Ответы во вложении................

Приложения:
Вас заинтересует