• Предмет: Алгебра
  • Автор: JustMakros
  • Вопрос задан 8 лет назад

Решите пж 20 балов прошу, у меня др и хочу нормально списать)

Приложения:

Ответы

Ответ дал: himbio361
0

Ну 1 вроде так,но на счёт второго не уверена

Приложения:
Ответ дал: JustMakros
0
а остальные?
Ответ дал: aubakiroff03
0

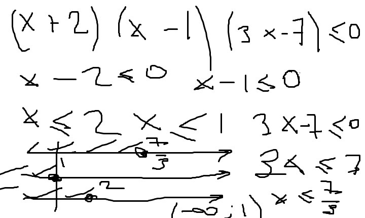
вот здесь 1 2 3

подожди немного

решу 4 5 и доп. задание

Приложения:
Вас заинтересует