• Предмет: Математика
  • Автор: mikimaus33
  • Вопрос задан 8 лет назад

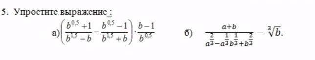
Помогите пожалуйста!!!

Приложения:

Ответы

Ответ дал: mostvit
0

Решение в приложении

______________________

Приложения:
Ответ дал: mikimaus33
0
Спасибо большое))
Вас заинтересует