!!!!!!! МАКСИМУМ ВНИМАНИЯ ПОЖАЛУЙСТА!!!!!! помогите пожалуйста решить умоляю вас 1 интеграл
Приложения:

Ответы
Ответ дал:
0
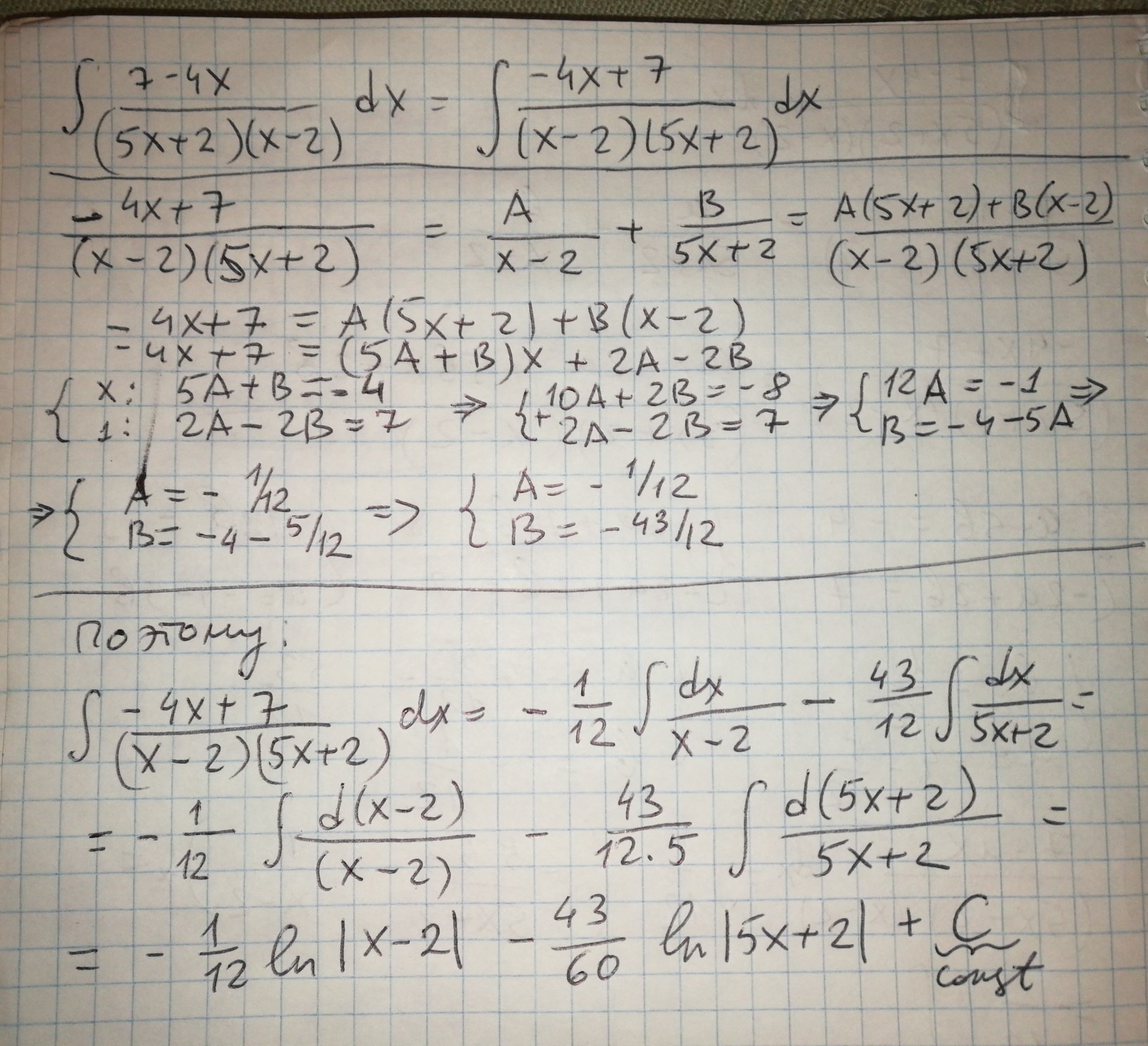
решение на фото
Приложения:

Ответ дал:
0
учитель сказал не верно)
Ответ дал:
0
а Вы спросили, где ошибка?
Ответ дал:
0
конечно
Ответ дал:
0
до слова поэтому там где a= и b= какое то уравнение не сходится
Вас заинтересует
2 года назад
2 года назад
3 года назад
3 года назад
9 лет назад
9 лет назад
9 лет назад
9 лет назад