• Предмет: Математика
  • Автор: 2000122314
  • Вопрос задан 8 лет назад

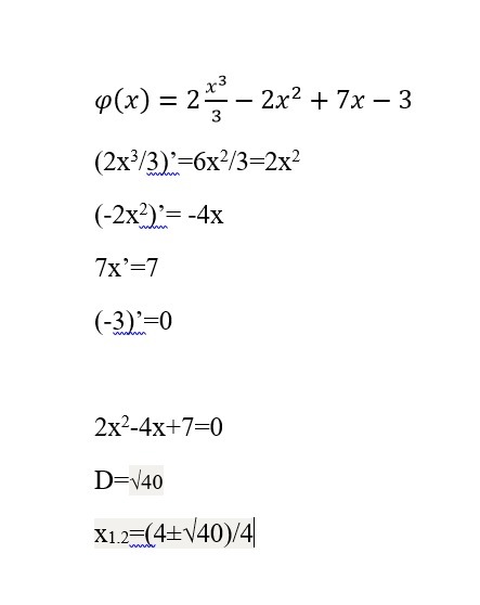
Найти производную и решить уравнение

Приложения:

Ответы

Ответ дал: alkesh98
0

Получившееся при решении производной уравнение не имеет вещественных корней, но имеет комплексные.


Приложения:
Вас заинтересует