Ответы
Ответ дал:
0
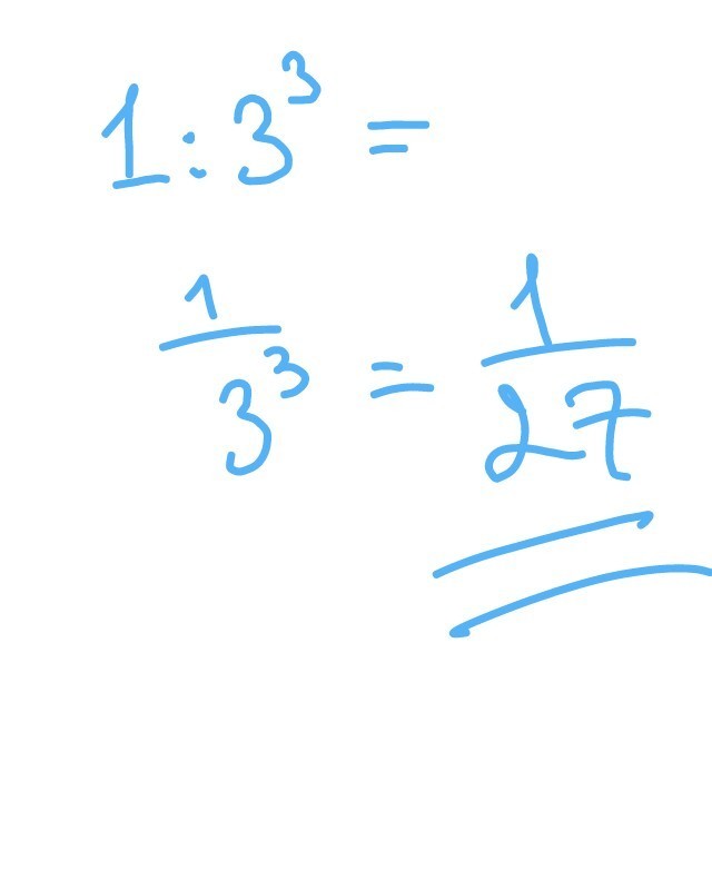
3 в -3 степени Ответ если же дробью 1/27
Ответ дал:
0
Дробь 1/27
Ответ дал:
0
спасибо
Ответ дал:
0
27 надеюсь понятно что потому что 3*3*3
Приложения:

Ответ дал:
0
спасибо
Вас заинтересует
2 года назад
2 года назад
9 лет назад
9 лет назад
9 лет назад