• Предмет: Алгебра
  • Автор: katepuhakloj131
  • Вопрос задан 8 лет назад

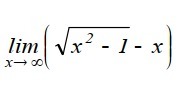
Помогите пожалуйста решить предел, с подробным решением

Приложения:

Ответы

Ответ дал: Алкадиеныч
0

Тут неопределенность вида беск/беск.

Домножим на сопряг

lim_{x to infty}frac{(x^2-1-x^2)}{sqrt{x^2-1}+x } =frac{-1}{infty} =0

Ответ дал: Алкадиеныч
0
Надеюсь, что подробно, если непонятно, то вопросы...
Ответ дал: katepuhakloj131
0
Спасибо, я не могу никак понять в каких случаях мы будем домнажать на х в большей степени? Например, когда в знаменателе в корне х, мы просто подставляем беск. 6 / √х+2 и ответ получается просто 6. А когда в числителе число без х, а
в знаменателе корень с х в квадрате, то нужно ли домнажать на х в большей степени?
Ответ дал: XGuruX
0
если в знаменатель в корне(корень или не корень не важно) 6/√(х+2), а в числителе любое число, то подставив бесконечность мы получаем, что 6/бесконечность, в итоге получаем бесконечно малое число, т.е. равно 0
Ответ дал: Алкадиеныч
0
Подставлять нужно, когда исчезает неопределенность..
Вас заинтересует