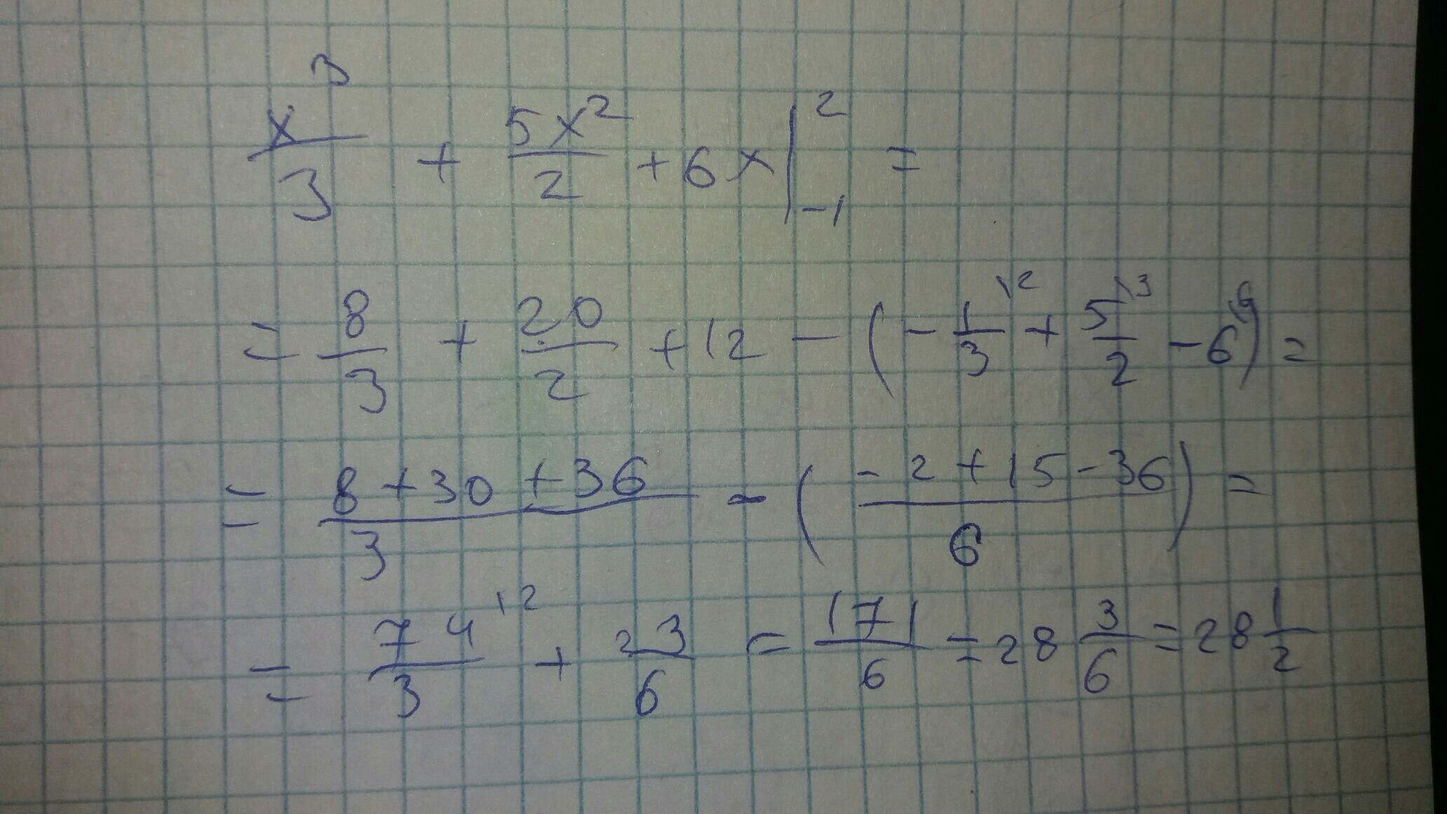
Вычислить площадь фигуры, органиченной графиком функции f(x) =x2+5x+6, прямыми x=-1,x=2 и осью абсцисс.
Ответы
Ответ дал:
0
лд звхыхыъыыхыъъ х х хъвъы
Приложения:

Вас заинтересует
2 года назад
2 года назад
3 года назад
3 года назад
9 лет назад
9 лет назад