Ответы
Ответ дал:
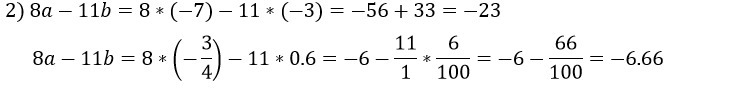
0
Первый номер............
Номер два
Приложения:


Вас заинтересует
2 года назад
2 года назад
3 года назад
3 года назад
9 лет назад
9 лет назад