Даю 34 балла!!!
Очень срочно!
Как можно быстрей!
Вариант 3(1 фотка)
И пример (2 фотка)
Приложения:
Ответы
Ответ дал:
0
Номер1
а)X(в 3-ей степени)
б)2 ( в 25-ой степени)
Номер2
а) 2 - целых 2 в числителе
9 в знаменателе
а)X(в 3-ей степени)
б)2 ( в 25-ой степени)
Номер2
а) 2 - целых 2 в числителе
9 в знаменателе
Ответ дал:
0
А можно решение пожалуйста?
Ответ дал:
0
x ( 12-ой степени)* x(в 6-ой степени): x ( в 15-ой степени)= x ( в 18-ой степени):x (в 15-ой степени)=x(в 3-ей степени)
Ответ дал:
0
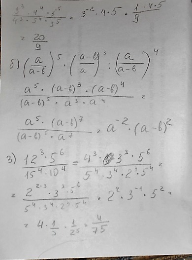
Вот решение... прикрепила фотографии
Приложения:
Вас заинтересует
2 года назад
2 года назад
3 года назад
9 лет назад
9 лет назад
10 лет назад
10 лет назад