• Предмет: Алгебра
  • Автор: diana55212
  • Вопрос задан 8 лет назад

помогитееееееееее срочнооооооооооооо!!!!!!!!!!

Приложения:

Ответы

Ответ дал: aytsan00
0

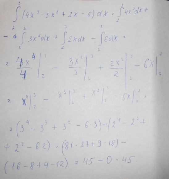
1. Интеграл суммы равен сумме интегралов

2. Сначала подставляем верхнюю границу, затем нижнюю

Приложения:
Вас заинтересует