• Предмет: Алгебра
  • Автор: zadrot687
  • Вопрос задан 8 лет назад

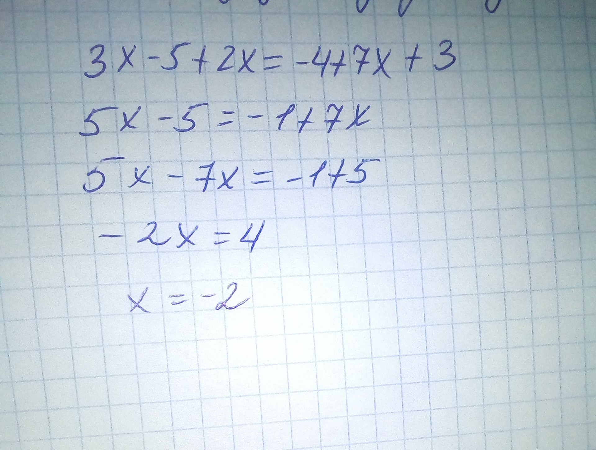
3x-5+2x=-4+7x+3 помогите решить

Ответы

Ответ дал: maymr
0

3x - 5 + 2x =  - 4 + 7x + 3 \  \ 3x + 2x - 7x =  - 4 + 3 + 5 \  \  - 2x = 4 \  \ x =  4 div ( - 2) \  \ x =  - 2

Ответ: -2.
Ответ дал: lilya63
0
вот вроде правильно решила
Приложения:
Вас заинтересует