Ответы
Ответ дал:
0
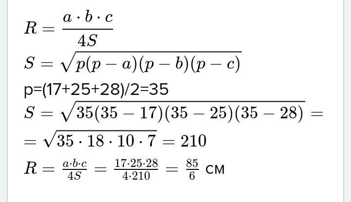
Держи
Это пятое)
Удачи)))
Это пятое)
Удачи)))
Приложения:

Ответ дал:
0
❤️❤️❤️
Вас заинтересует
2 года назад
3 года назад
3 года назад
9 лет назад
9 лет назад
9 лет назад