• Предмет: Алгебра
  • Автор: kamilakovalchuk99
  • Вопрос задан 8 лет назад

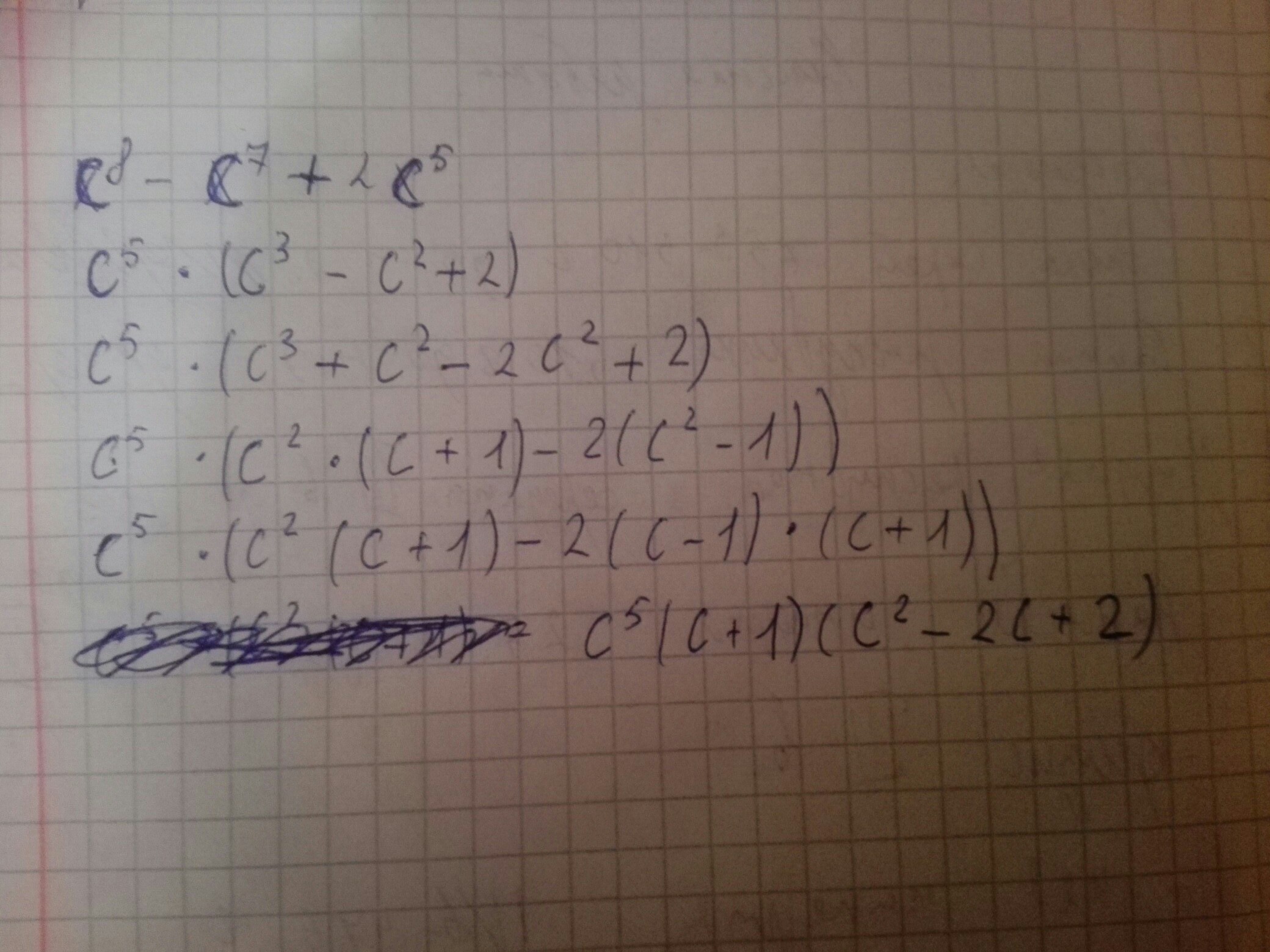
c *восьмий степінь*-с*сьомий стапінь*+2с*п'ятий степінь* подати у вигляді добутку

Ответы

Ответ дал: LehaSex
0
Я немного не понимаю украинский, надеюсь я тебя правильно понял.
Приложения:
Вас заинтересует