• Предмет: Алгебра
  • Автор: ananas023
  • Вопрос задан 8 лет назад

Выполните действия
ТЕМА умножение и деление рациональных дробей тождественные преобразования рациональных выражений

Приложения:

Ответы

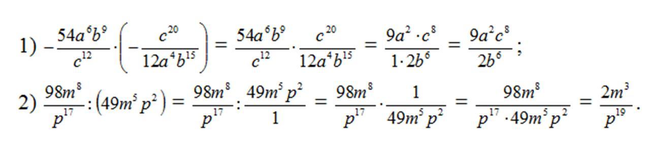
Ответ дал: unamart
0
Вот так, надеюсь, что верно
Приложения:
Ответ дал: ananas023
0
спасибо
Ответ дал: Lod2000
0
Во втором примере р^19 степени
Ответ дал: ananas023
0
ага
Ответ дал: unamart
0
Да, в 19, прошу прощения
Ответ дал: ananas023
0
ничего страшного
Ответ дал: Санечка69
0

См. решение на рисунке

Приложения:
Вас заинтересует