• Предмет: Математика
  • Автор: burilova2018
  • Вопрос задан 8 лет назад

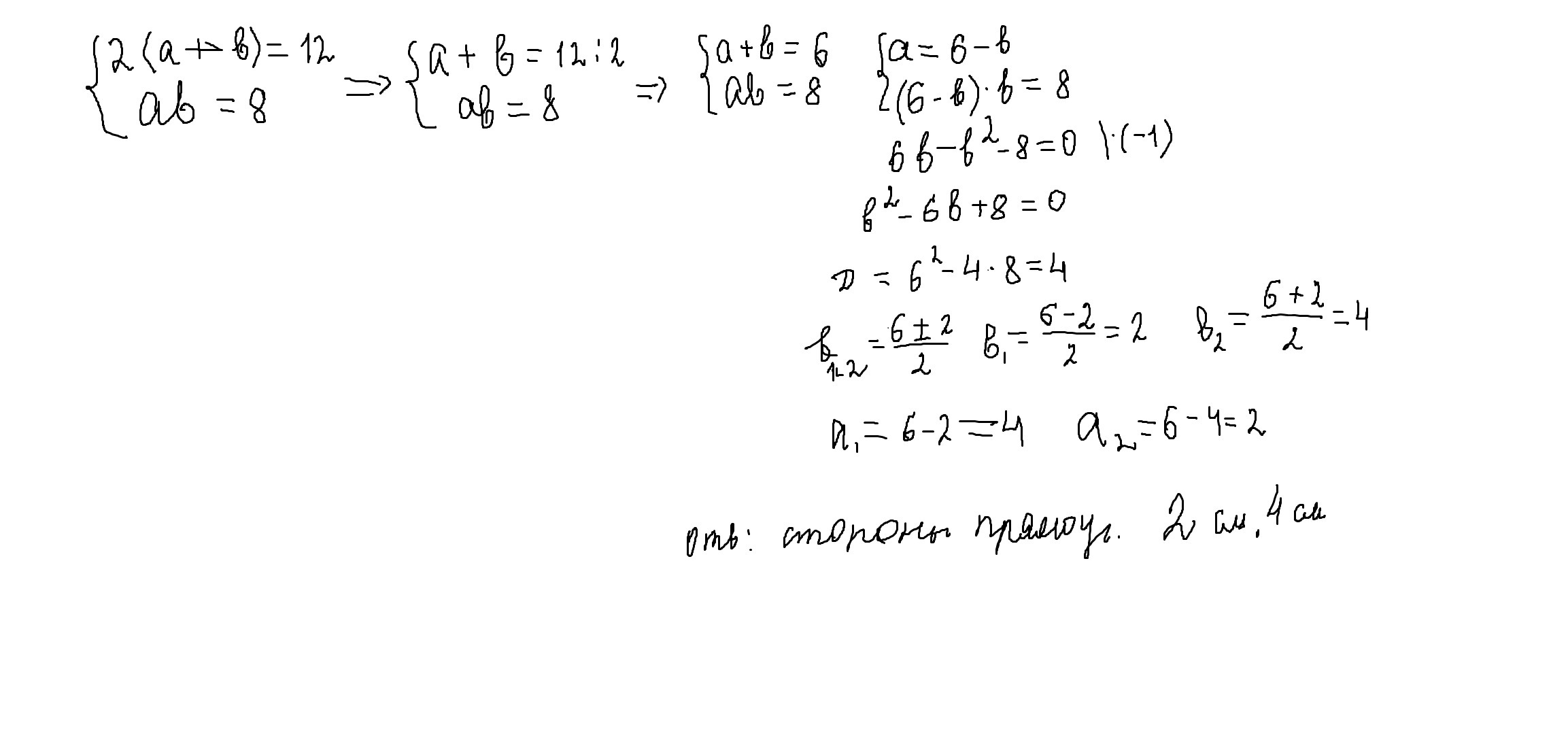
Найди длины сторон прямоугольника периметр которого равен периметру треугольника со сторонами 3 см., 4 см.,5 см., если площадь прямоугольника 8 см.в квадрате.

Ответы

Ответ дал: parus77
0

Р=3+4+5=12 см это периметр треугольника и периметр прямоугольника

Р=2(а+в)  периметр

S=ab площадь квадрата

составим и решим систему уравнений и получим,что стороны прямоугольника равны 2 см и 4 см

Приложения:
Ответ дал: sergeysargsyanotl7bg
0

P=2(a+b)

P=3+4+5=12

a+b=12/2=6

a=6-b

a*b=8

(6-b)b=8

6b-b^2-8=0

D=36-32=4=2^2

b1=(-6-2)/-2=4   a1=2

b2=(-6+2)/-2=2  a2=4


Ответ 4 и 2


Приложения:
Вас заинтересует