• Предмет: Алгебра
  • Автор: walkeralana61
  • Вопрос задан 8 лет назад

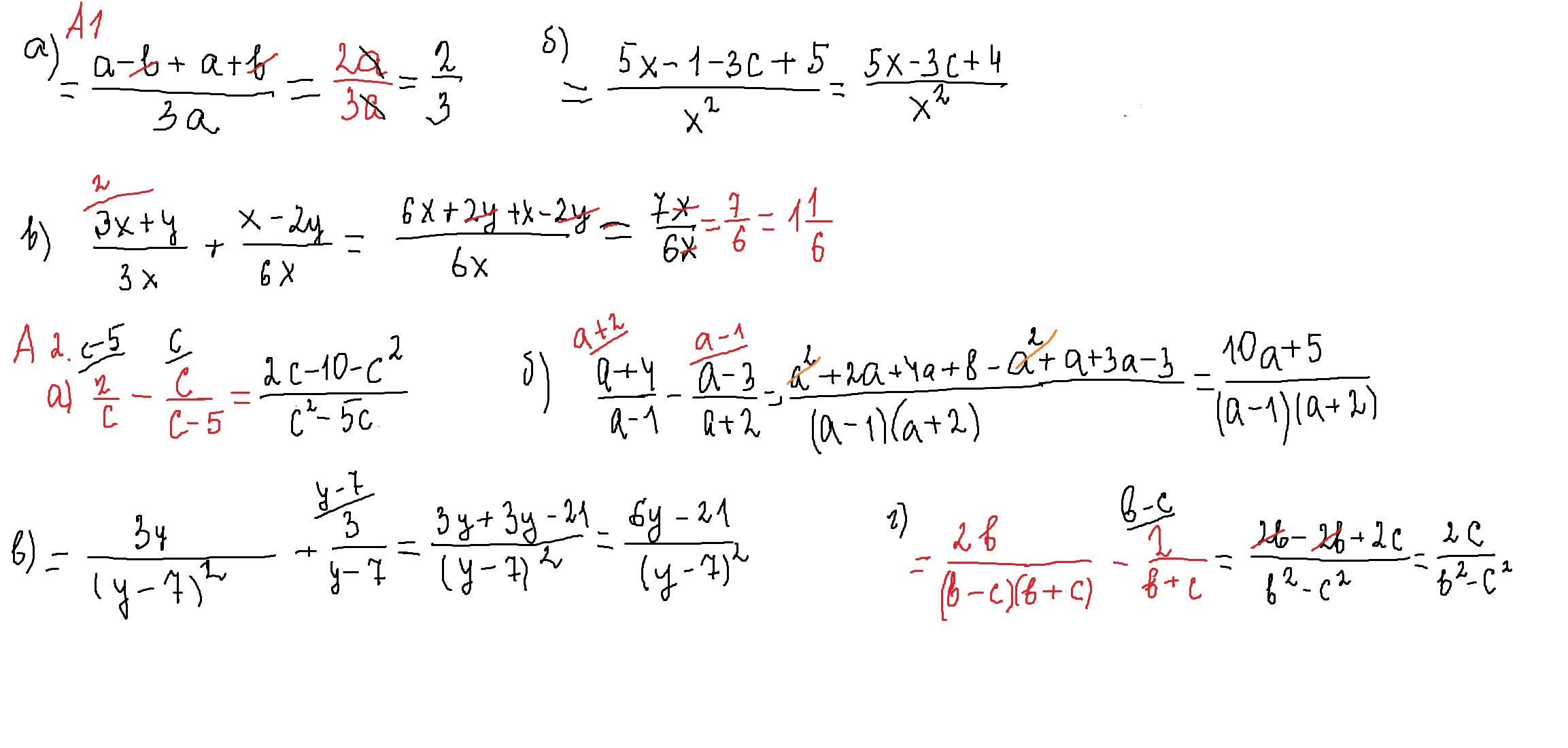
Привет, мне очень нужна ваша помощь ,помогите, пожалуйста с заданием А1 и А2. Если есть возможность напишите на листочке и сфотографируйте! Я буду очень благодарна ! Это все баллы которые у меня остались:с

Приложения:

Ответы

Ответ дал: vladaporkhun
0
Вот сделала.
Надеюсь помогла)
Приложения:
Ответ дал: walkeralana61
0
Да,спасибо большущее:3
Ответ дал: parus77
0

смотри решение внизу,если непонятно-спрашивай.

Приложения:
Вас заинтересует