• Предмет: Алгебра
  • Автор: Аноним
  • Вопрос задан 8 лет назад

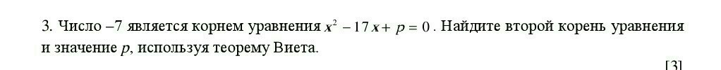
помогите алгеброй
пжжжжж

Приложения:

Ответы

Ответ дал: valenivan
0

Решение задания приложено

Приложения:
Ответ дал: Аноним
0
спасибо огромное ♡
Вас заинтересует