Решите функциональные уравнения
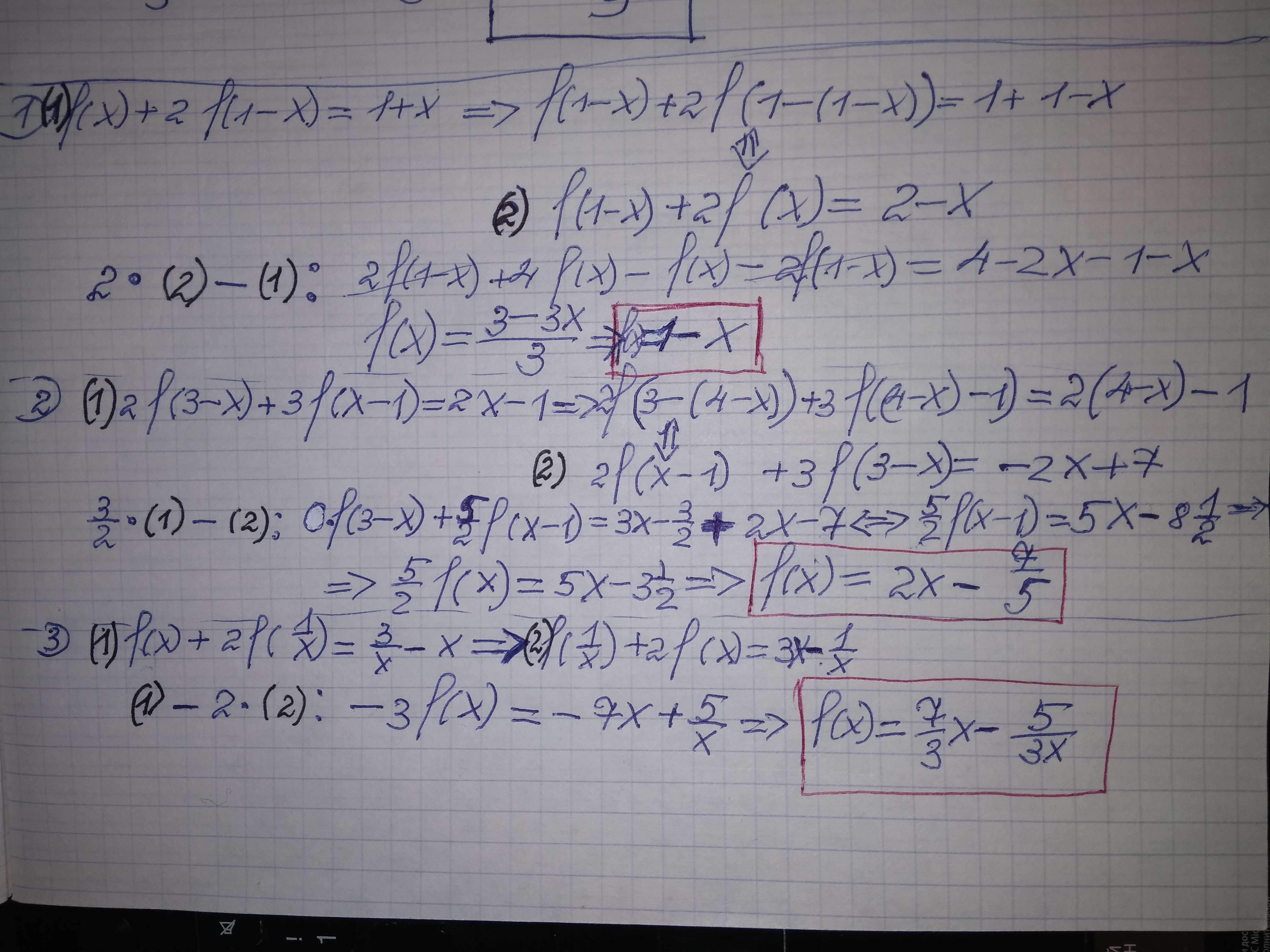
1) f(x)+2f(1-x)=1+x
2) 2f(3-x)+3f(x-1)=2x-1
3) f(x)+2f(1/x)=(3-x^2)/x
Ответы
Ответ дал:
0
............................
Приложения:

Вас заинтересует
2 года назад
3 года назад
3 года назад
9 лет назад
9 лет назад
9 лет назад