Ответы
Ответ дал:
0
Ответ дал:
0
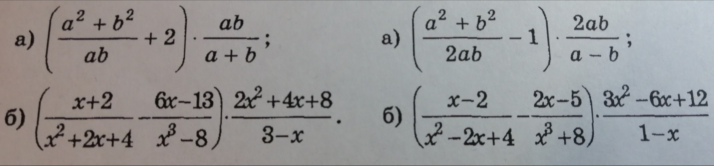
1 столбик.
2 столбик:
1)
(a^2-2ab+b^2)*1/a-b=(a-b)^2*1/a-b=a-b
Ответ: а-b
2)___
2 столбик:
1)
(a^2-2ab+b^2)*1/a-b=(a-b)^2*1/a-b=a-b
Ответ: а-b
2)___
Приложения:

Вас заинтересует
2 года назад
3 года назад
3 года назад
9 лет назад
9 лет назад
9 лет назад