Ответы
Ответ дал:
0
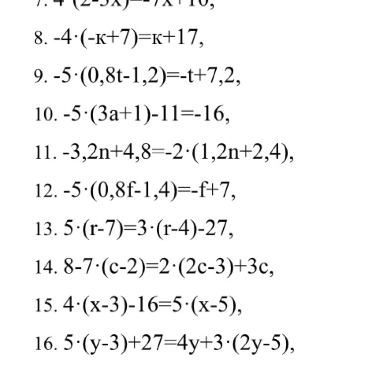
8) 4к-28=к+17
4к-к=17+28
3к=45
к=15
9) -4t+6=-t+7.2
-4t+t=7.2-6
-3t=1.2
t=-0.4
10) -15a-5-11=-16
-15a=-16+5+11
-15a=0
a=0
11) -3.2n+4.8=-2.4n-4.8
-3.2n+2.4n=-4.8-4.8
-0. 8n=-9.6
n=12
12) -4f+7=-f+7
-4f+f=7-7
-3f=0
f=0
13) 5r-35=3r-12-27
5r-3r=-12-27+35
2r=-4
r=-2
14) 8-7c+14=4c-6+3c
-7c-4c-3c=-6-8-14
-14c=-28
c=2
15) 4x-12-16=5x-25
4x-5x=-25+12+16
-x=3
x=-3
16) 5y-15+27=4y+6y-15
5y-6y-4y=-15+15-27
-5y=-27
y=5.4
4к-к=17+28
3к=45
к=15
9) -4t+6=-t+7.2
-4t+t=7.2-6
-3t=1.2
t=-0.4
10) -15a-5-11=-16
-15a=-16+5+11
-15a=0
a=0
11) -3.2n+4.8=-2.4n-4.8
-3.2n+2.4n=-4.8-4.8
-0. 8n=-9.6
n=12
12) -4f+7=-f+7
-4f+f=7-7
-3f=0
f=0
13) 5r-35=3r-12-27
5r-3r=-12-27+35
2r=-4
r=-2
14) 8-7c+14=4c-6+3c
-7c-4c-3c=-6-8-14
-14c=-28
c=2
15) 4x-12-16=5x-25
4x-5x=-25+12+16
-x=3
x=-3
16) 5y-15+27=4y+6y-15
5y-6y-4y=-15+15-27
-5y=-27
y=5.4
Ответ дал:
0
Спасибо❤️❤️❤️
Вас заинтересует
2 года назад
3 года назад
9 лет назад
10 лет назад