Ответы
Ответ дал:
0
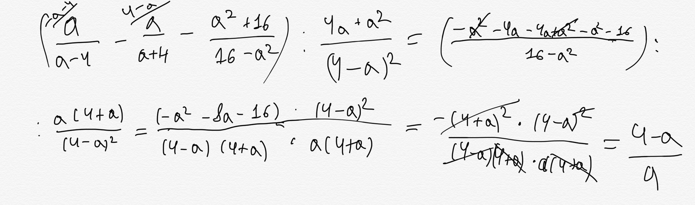
Если непонятно что-то будет — спрашивай
Приложения:

Вас заинтересует
2 года назад
3 года назад
9 лет назад
9 лет назад