• Предмет: Алгебра
  • Автор: assddff63
  • Вопрос задан 8 лет назад

Помогите решить логарифмы.

Приложения:

Ответы

Ответ дал: Evgenia4836
0

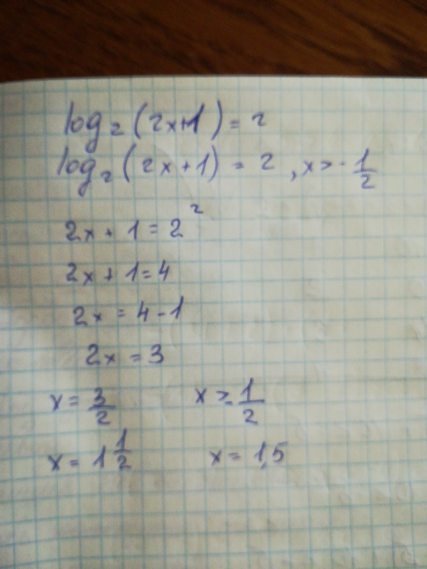
log2(2x+1)=2

2²=2x+1

4=2x+1

3=2x

x= 1,5

Ответ дал: kachkovagmailcom
0
Вроде так я просто расписал все
Приложения:
Вас заинтересует